
A APIC, em parceria com a empresa espanhola VEDEQSA, convida todos os associados a participar no Webinar “LAE: Um Conservante Antimicrobiano Altamente Eficaz”, que se realizará no dia 25 de novembro de 2025, às 14h30.
Informações sobre o produto:

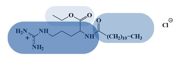
Arginato de láurico (https://www.lauric-arginate.com/)
📩 Inscrições gratuitas (exclusivas para associados APIC):
Envie email para Este endereço de email está protegido contra piratas. Necessita ativar o JavaScript para o visualizar. indicando nome, empresa e contactos (email e telefone).
Contamos com a vossa presença neste importante momento de partilha de conhecimento técnico e inovação.

